Ir para o conteúdo. | Ir para a navegação
Ferramentas Pessoais
Navegação
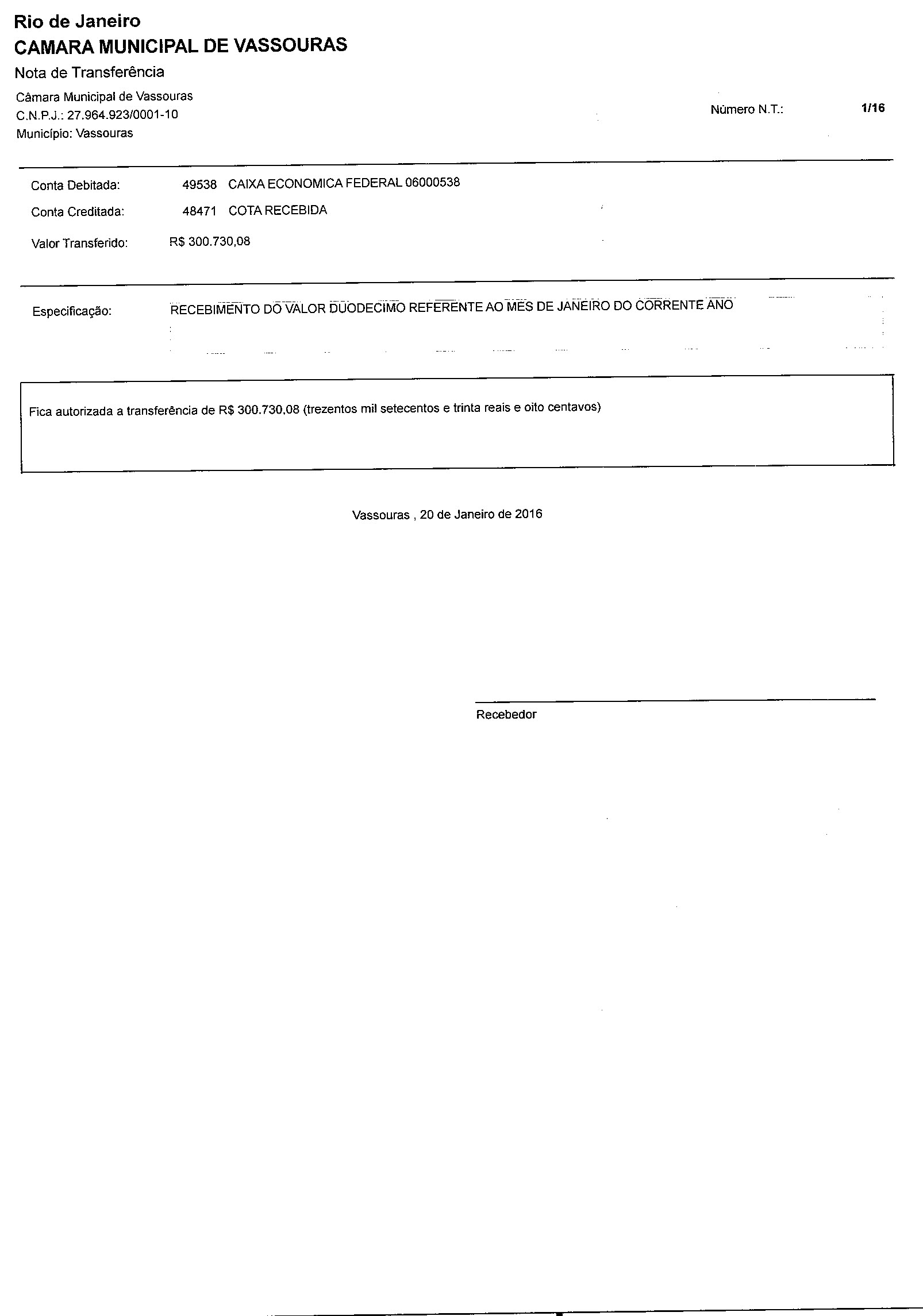
RepasseMensal.jpg — Imagem JPEG, 203 KB (208306 bytes)